Simulating stress-strain curves with DAMASK#

This notebook processes the results from the demo workflow tension_DAMASK_Al, and generates a plot of stress-strain.

import matflow as mf
import matplotlib.pyplot as plt
import numpy as np
from pathlib import Path

Load and process simulation#

workflow_path = Path("tension_DAMASK_Al_2025-05-29_115126")
workflow = mf.Workflow(workflow_path)
VE_response = workflow.tasks.simulate_VE_loading_damask.elements[0].outputs.VE_response.value

stress = np.array(VE_response['phase_data']['vol_avg_equivalent_stress']['data'])
strain = np.array(VE_response['phase_data']['vol_avg_equivalent_strain']['data'])

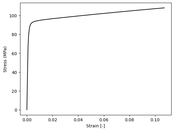
Plot stress-strain#

plt.plot(strain, stress/1e6, color='k')
plt.xlabel(f"Strain [-]")
plt.ylabel(f"Stress (MPa)")
Text(0, 0.5, 'Stress (MPa)')
../../../_images/3f7bbdae528f1b60b77c640baddde150735e43b0d17429d854d17ce821c782a2.png